Australia adalah negara yang luas dengan berbagai iklim yang berbeda. Australia membentang dari Cape York ke ujung selatan Tasmania. Pulau Heard dan Kepulauan McDonald adalah wilayah eksternal yang terletak sekitar 53 ° S.
Ada beberapa faktor yang mempengaruhi iklim Australia. Faktor-faktor ini terdiri dari: garis lintang, arus laut, jarak ke pantai, kondisi suhu, angin, dan lanskap, Keenam negara bagian mengalami iklim dari tropis hingga sedang.
Garis Lintang

Australia membentang melintasi tiga kawasan garis lintang yang luas, yakni
• kawasan tropis (11°LS – 23° 30 LS)
• kawasan subtropis (23° 30’ – 35°LS)
• kawasan beriklim sedang (35° – 44°LS)
Lebih dari sepertiga benua Australia terletak di kawasan tropis dan dua pertiga sisanya terletak di kawasan subtropis dan kawasan beriklim sedang. Ini dapat dilihat pada Gambar 2.1. Suhu udara yang tertinggi adalah di kawasan beriklim tropis dan suhu tersebut semakin berkurang panasnya kalau kita bergerak ke arah selatan menuju ke kawasan beriklim sedang. Australia mempunyai bermacam-macam iklim karena adanya kawasan-kawasan ini. Bentang alam di negara ini juga mempengaruhi keadaan dan menambah keberagaman iklim tersebut.
Samudera-samudera di dunia ada yang berarus hangat dan ada yang berarus dingin. Arus samudera terbentuk ketika angin bertiup secara tetap di atas lautan. Arus samudera mempengaruhi iklim di darat. Arus dingin akan menyebabkan iklimnya lebih dingin. Arus hangat akan membuat iklimnya lebih panas.
Di samudera sekitar Australia terdapat beberapa arus yang penting. Arus-arus ini dapat dilihat dalam Gambar 2.2.
Arus hangat yang disebut Arus Australia Timur mengalir di sepanjang pantai timur dan arus hangat lain yang disebut Arus Leuwin mengalir di sepanjang pantai barat. Arus lain yang disebut Arus Khatulistiwa Selatan mengalir di sepanjang pantai utara Australia. Arus-arus panas ini menyebabkan udara di Australia menjadi panas. Arus dingin yang disebut Apung Angin Barat mengalir dari barat ke timur, tepat di sebelah selatan Australia dan membawa hawa dingin ke Tasmania.

Australia betul-betul dikelilingi oleh samudera. Pada umumnya, samudera menyebabkan suhu menjadi sedang di daerah pantai sehingga tidak ada perbedaan yang besar antara suhu minimum dan suhu maksimum. Apabila menjauh dari pantai dan lebih masuk ke daratan, suhunya menjadi semakin ekstrem dan perbedaan antara suhu maksimum dan minimum menjadi lebih besar. Suhu rata-rata di Australia dapat dilihat dalam Gambar 2.3.
Jarak dari pantai
Jarak dari pantai mempengaruhi suhu dan curah hujan. Daerah-daerah yang paling lembab di Australia adalah daerah yang paling dekat dengan laut. Lebih jauh ke darat, daerahnya menjadi lebih kering dan daerah bagian tengah di Australia adalah gurun pasir.
Banyak daerah di Australia yang jauh dari pantai. Jadi, pada garis lintang berbeda, terdapat daerah- daerah yang basah, daerah yang agak gersang dan daerah yang kering. Di Australia, kawasan- kawasan tropis, subtropis dan kawasan beriklim sedang mempunyai daerah yang lembab, daerah agak gersang dan daerah kering.

Keadaan suhu dan angin
Iklim di Australia dipengaruhi oleh keadaan angin, atau oleh massa udara, yang berhembus di atas benua tersebut. Massa udara utama yang mempengaruhi iklim di Australia dapat dilihat dalam Gambar 2.5a & 2.5b. Pada musim panas, iklim di Australia lebih dipengaruhi oleh udara tropis yang hangat. Pada musim dingin, iklimnya lebih dipengaruhi oleh udara kutub yang dingin. Massa udara dan angin yang berasal dari bagian tengah benua Australia bersifat kering dan panas pada musim panas serta kering dan dingin pada musim dingin.
Bulan Januari merupakan pertengahan musim panas di Australia. Matahari tepat berada di atas Australia bagian utara sehingga benua tersebut menjadi lebih panas. Selama musim panas ini, ada sistem tekanan rendah yang bergerak di atas Australia bagian utara yang berasal dari Samudera India dan Samudera Pasifik. Manakala sistem tekanan rendah ini melintasi lautan yang hangat, sistem tekanan tersebut menjadi lembab sehingga meniupkan udara tropis yang panas ke arah benua. Hal ini menyebabkan terbentuknya awan dan hujan. Kejadian ini membawa hujan ke daerah-daerah tropis dan subtropis di Australia bagian utara di musim panas. Hal ini digambarkan dalam Gambar 2.6a.





Bulan Juli adalah pertengahan musim dingin di Australia. Matahari tidak langsung berada di atas sehingga udara lebih sejuk. Udara kutub yang dingin bertiup ke arah Australia bagian selatan dari Samudera Selatan yang dingin. Udara tersebut bertiup dalam bentuk kumpulan sel-sel tekanan tinggi. Sel-sel ini bergerak melintasi benua dari arah barat ke timur. Sel tekanan tinggi membawa cuaca yang tak berawan ke daerah-daerah yang luas di Australia selama musim dingin. Sel-sel tekanan rendah juga bertiup dari barat pada kira- kira 40°LS selama musim dingin. Sel-sel ini membawa hujan. Jadi, hal ini menyebabkan banyaknya curah hujan di Australia selatan selama musim dingin. Hal ini digambarkan dalam Gambar 2.6b.
Daerah-daerah selatan dan utara di daratan Australia mendapatkan curah hujan pada musim-musim yang berlawanan. Di daerah utara yang tropis, musim panasnya mengandung banyak hujan sedangkan musim dinginnya kering. Di Australia bagian selatan dan baratdaya, musim dinginnya mengandung banyak hujan dan musim panasnya kering.
Pantai timur Australia memperoleh hujan dari awan yang datang dari Samudera Pasifik. Awan- awan ini membentuk udara lembab di atas samudera. Jadi, daerah yang jauh di sebelah timur di Australia, termasuk Tasmania, hujan turun sepanjang tahun. Demikian juga, daerah-daerah sebelah utara di Australia timur memperoleh lebih banyak hujan di musim panas dan daerah- daerah sebelah selatan memperoleh lebih banyak hujan di musim dingin.
Bentang alam
Kawasan Pegunungan Timur juga mempunyai dampak yang penting bagi iklim Australia. Angin yang membawa kelembapan dari samudera Pasifik tertekan untuk naik di atas Kawasan Pegunungan Timur. Naiknya angin tersebut membentuk awan-awan yang membawa hujan orografis (hujan pegunungan) k arah
Daratan Tinggi Timur dan kawasan pantai sebelah timur. Dengan demikian, daerah-daerah pantai sebelah timur dan dataran tinggi mendapatkan lebih banyak hujan daripada daerah-daerah yang ada di sebelah barat Dataran Tinggi Timur.
Hanya beberapa daerah saja di Australia yang bersalju pada puncak-puncaknya yang tinggi, yakni daerah Pegunungan Salju dan sebagian Tasmania. Udara di Australia tidak sedingin benua lain yang garis lintangnya serupa. Misalnya, pada garis lintang yang serupa dengan Australia, yaitu daerah-daerah di Eropa utara, Asia bagian utara dan Amerika Utara sering mengalami keadaan bersalju yang meluas.
Iklim-iklim di Australia

Untuk pemeriksaan lebih rinci tentang zona iklim Australia, lihat peta Klasifikasi Iklim Biro Meteorologi Australia. Peta klasifikasi iklim ini menunjukkan tiga metode yang berbeda untuk mengklasifikasikan iklim Australia berdasarkan tiga skema klasifikasi yang berbeda – suhu / kelembaban, vegetasi (Köppen) dan curah hujan musiman.
Lihat peta
Iklim-iklim Tropis
Iklim tropis dijumpai di Australia di atas Garis Balik Selatan (23 1/2° selatan). Kawasan- kawasan tropis lebih dekat ke garis khatulistiwa dibandingkan dengan tempat- tempat yang lebih jauh ke selatan. Kawasan ini lebih banyak menerima panas matahari secara langsung. Oleh karena itu, suhunya berkisar antara hangat sampai panas di sepanjang tahun. Suhu tahunan rata-rata adalah antara 21°C dan 27°C.
Beberapa daerah tropis di Australia ada yang lembab dan ada pula yang kering. Daerah- daerah yang berdekatan dengan pantai, yakni di Australia sebelah utara dan sebelah timur, lebih tinggi curah hujannya dibandingkan dengan daerah-daerah yang jauh di pedalaman. Di daerah pedalaman, curah hujannya sangat rendah dan di sana timbul iklim gurun.
Iklim lembab-kering tropis
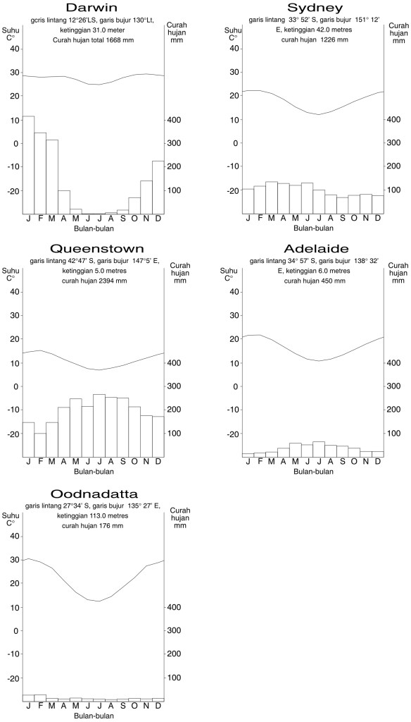
Daerah tropika di Australia beriklim monsun. Daerah tersebut mempunyai musim kering danlembab dengan arah angin yang berbalik secara musiman. Curah hujan tahunan rata-rata paling sedikit adalah 1000-1500 mm. Kebanyakan curah hujan ini turun di musim panas, mulai bulan November sampai dengan Maret dan ketika itu suhu rata-ratanya adalah kira-kira 28°C. Bulan Maret sampai Oktober hawanya sangat kering dan lebih dingin, dengan suhu rata-rata 26°C. Keadaan suhu dan curah hujan di Darwin, yakni sebuah kota dengan iklim lembab-kering tropis, dapat dilihat pada Gambar 2.8.

Kadang-kadang sistem tekanan rendah tropis yang bergerak di atas Australia bagian utara di musim panas berubah menjadi topan tropis dengan angin yang bertiup sangat keras. Angin topan tropis dapat merusakkan bangunan, tanaman, dan satwa serta dapat mengancam hidup manusia. Pada tahun 1975, angin topan ‘Tracey’ merusakkan sebagian besar kota Darwin dan menyebabkan 49 orang meninggal serta 16 orang hilang di laut.
Angin topan Tracey merupakan masalah pada bulan-bulan November sampai Maret. Satelit cuaca melacak angin topan ini untuk mengetahui kedatangannya dan memperingatkan penduduk mengenai hal itu. Angin topan tersebut digolongkan menurut skala 1 sampai 5 sesuai dengan kecepatan anginnya.
Gambaran garis edar angin topan tropis ‘’Olivia’ tampak dalam Gambar 2.9 dan gambaran melalui satelit ada dalam Gambar 2.10. Olivia mencapaikecepatan maksimum 267 kilometer per jam.
Dalam Gambar 2.11 adalah contoh rumah kayu. Akibat khas topan tropis tampak dalam gambar-gambar rumah ini.Hutan tropis yang luas telah tumbuh di sepanjang pantai beriklim monsun di Queensland. Sebagian hutan tersebut telah ditebang untuk menanam tebu dan perkebunan lain. Sebagian hutan yang ada di bagian timur laut pantai masih tetap. Hutan-hutan ini mempunyai beragam jenis pohon, hewan dan burung.
Iklim setengah gersang tropis
Kawasan ini terletak di pedalaman. Suhunya berkisar antara hangat sampai panas sepanjang tahun, yakni antara 21°C dan 27°C. Suhu yang tinggi menyebabkan tingginya tingkat penguapan. Curah hujannya rendah, yakni antara 250 dan 500 mm. Curah hujan tersebut tidak dapat diandalkan dan tidak tetap. Daerah- daerah yang paling lembab adalah di dataran tinggi yang dekat dengan pantai, yakni tempat jatuhnya hujan orografis.
Curah hujan cukup bagi tumbuhnya rumput di dataran berumput yang disebut savanna (padang rumput). Di padang rumput ini dijumpai banyakhewan seperti kanguru.Ternak sapi juga dipelihara di sini.
Kawasan-kawasan sedang dan tropis
Di sebelah selatan daerah tropika, terdapat iklim sedang dan subtropis. Kawasan ini mempunyai musim-musim yang jelas tandanya, yakni musim semi, musim panas, musim gugur dan musim dingin. Bulan-bulan yang suhunya berkisar antara hangat sampai panas adalah bulan Desember sampai Februari. Antara bulan Juni dan Agustus suhunya berkisar antara dingin dan sangat dingin di musim dingin. Di musim semi (bulan September sampai November) dan musim gugur (bulan Maret sampai dengan bulan Mei) bersuhu sedang. Semakin ke selatan, keempat musim tersebut semakin jelas terasa bedanya.


Laporan siklon tropis sejak 1970
Baca laporan pasca siklon terperinci untuk siklon Australia sejak tahun 1970. Laporan-laporan ini sebagian besar disusun menggunakan materi asli yang diproduksi segera setelah siklon terjadi.


Dalam Gambar 2.11 adalah contoh rumah kayu. Akibat khas topan tropis tampak dalam gambar-gambar rumah ini.

Iklim lembab subtropis
Kawasan beriklim subtropis ini terletak di antara Garis Balik dan 35oLS, yakni di antara dataran tinggi dan pantai di Australia bagian timur. Hujan turun di semua musim, dan kebanyakan hujan turun pada musim panas. Rata-rata curah hujan adalah 500 sampai 1.500 mm per tahun. Di musim panas udaranya panas dan pada musim dingin udaranya sangat dingin. Rata-rata suhu tahunan berkisar antara 16oC dan 21oC.
Dulunya ada hutan-hutan besar di daerah ini. Sebagian dari hutan-hutan itu masih ada. Hutan-hutan yang luas telah ditebang dan sekarang digunakan untuk pertanian, peternakan, atau dijadikan kota kecil maupun kota besar. Keterangan mengenai suhu dan curah hujan untuk kota Sydney, yakni sebuah kota beriklim lembab subtropis, dapat dilihat dalam Gambar 2.8 (di atas).
Iklim setengah gersang subtropis
Iklim ini dijumpai di daerah dataran tinggi yang letaknya jauh di barat yang curah hujannya berkurang. Curah hujan tersebut masih cukup untuk menanam rumput di dataran berumput. Satwa asli seperti kanguru berkembang dengan pesat di kawasan itu yang berarti juga mendukung pemeliharaan domba dan pertanian gandum.
Iklim sedang
Terdapat dua jenis iklim sedang di Australia, yakni iklim yang ada di daerah pantai Australia, termasuk di Tasmania, dan iklim di Australia sebelah baratdaya dan sebelah selatan.
Iklim sedang dan lembab
Iklim ini dijumpai di Australia sebelah timur di antara dataran tinggi dan pantai. Di sini hujan turun sepanjang tahun dengan rata-rata antara 500 dan 1000 mm. Lebih banyak hujan turun di dataran tinggi daripada di pantai. Di musim panas udaranya panas dan pada musim dingin udaranya sejuk. Suhu tahunan rata-rata berkisar antara 10° dan 16°C. Di musim dingin biasanya salju turun di Pegunungan Salju.
Keseluruhan daerah ini dulunya penuh dengan hutan. Sebagian dari hutan-hutan tersebut masih ada. Di tempat-tempat yang hutannya telah ditebang sekarang dijadikan pertanian dan daerah hunian. Di sepanjang pantai tersebut terdapat pertanian dan perkebunan intensif. Keterangan mengenai curah hujan dan suhu di Queenstown, yakni sebuah kota beriklim sedang dan lembab, dapat dilihat pada Gambar 2.8.
Iklim sedang yang lembab dan kering
Iklim ini terdapat di dua daerah di Australia barat daya di sekitar kota Perth dan di Australia Selatan dekat kota Adelaide. Di musim panas udaranya sangat panas dan kering, dan di musim dingin udaranya sejuk dan berhujan. Hujan tersebut terbawa angin yang berhembus dari barat sesudah menyeberangi Samudera Hindia dan Samudera Selatan. Suhu rata-rata tahunan berkisar antara 16°C dan 21°C. Curah hujan tahunan adalah antara 250 dan 500 mm. Iklimnya disebut iklim Laut Tengah (Mediterranean) karena serupa dengan iklim yang ada di sekitar Laut Tengah tersebut. Tumbuh-tumbuhannya adalah schlerophyll. Kata schlerophyll berasal dari bahasa Yunani yang berarti berdaun kaku. Tumbuhan ini mempunyai daun yang tebal dan berminyak sehingga memungkinkannya bertahan hidup. Pada musim panas yang hawanya panas dan kering. Pertanian gandum, peternakan domba, dan tanaman anggur dan buah merupakan hal yang penting di sini. Keterangan mengenai suhu dan curah hujan di kota Adelaide, yakni kota yang beriklim Laut tengah, dapat dilihat pada Gambar 2.8.
Padang Pasir
Kegersangan di AustraliaSebagian besar daerah pedalaman Australia merupakan sebuah padang pasir dengan kadar penguapan yang tinggi dan hujannya kurang dari 250 mm per tahun. Mungkin padang pasir tersebut tidak mendapat hujan sama sekali selama beberapa tahun. Didaerah tropis suhunya tinggi tetapi di daerah sebelah selatan suhunya lebih sejuk. Suhu tahunan rata-rata berkisar antara 16°C sampai dengan 27°C. Keterangan suhu dan curah hujan di kota Oodnadatta di daerah padang pasir dapat dilihat pada Gambar 2.8.
Kegersangan di Australia

Australia merupakan benua paling kering di dunia yang didiami manusia. Letak Benua Australia tidak cukup jauh di utara sehingga tidak secara luas dipengaruhi oleh cuaca lembab tropis. Demikian juga, benua tersebut tidak cukup jauh di selatan sehingga tidak memperoleh banyak hujan dari awan yang berasal dari samudera sebelah selatan. Dengan demikian, sebagian besar benua tersebut kering. Hal ini menjadi masalah bagi pertanian dan hunian. Setiap tujuh tahun atau lebih Australia mengalami kekeringan. Kekeringan yang selalu timbul lagi itu juga merupakan masalah. Kadang-kadang kekeringan tersebut sangat hebat sehingga terjadi kerugian jutaan dolar ketika tanaman pangan dan hewan peliharaan mati. Dalam peristiwa kekeringan terakhir yang dialami mulai tahun 1992 sampai dengan tahun 1995, banyak daerah di Australia menderita karena tidak ada hujan. Menurut para ilmuwan terjadinya siklus kekeringan ini ada penjelasannya.
Terjadinya keadaan kekeringan di Australia,termasuk juga di beberapa daerah di Indonesia, bergantung pada keadaan-keadaan di Samudera Pasifik Selatan. Apabila keadaan di Pasifik Selatan tidak normal, sehingga dapat terjadi kekeringan atau turun hujan lebat. Keadaan yang menyebabkan kekeringan disebut itu El Nino. Keadaan yang menyebabkan hujan lebat disebut La Nina.
Keadaan normal

Dalam keadaan normal angin pasat berhembus dari timur melintasi Samudera Pasifik. Hal ini menyebabkan air hangat dari Pasifik tengah terdorong ke arah barat. Air hangat ini terkumpul di sepanjang garis pantai Australia sebelah utara, dan juga mengalir ke perairan Indonesia. Terbentuklah awan di atas air yang hangat ini. Awan-awan ini membawa hujan apabila bergerak di atas Australia dan Indonesia. Keadaan ini dapat dilihat dalam Gambar 2.13.
Peristiwa El Nino

El Nino datang mengganggu setiap dua tahun sampai tujuh tahun sekali. Peristiwa El Nino tampak dalam Gambar 2.14. Dalam keadaan seperti ini, Samudera Pasifik menjadi hangat, mulai dari Pasifik tengah sampai dengan pantai Peru di Amerika Selatan, tetapi tidak demikian di perairan Australia sebelah utara dan Indonesia. Apabila hal ini terjadi, angin pasat akan melemah dan arahnya berbalik, yakni berhembus dari arah barat ke arah timur. Jadi udara tropis yang lembab tidak terpusat di dekat Benua Australia. Alih-alih udara lembab tersebut terpusat di Samudera Pasifik tengah dan meluas ke timur ke arah Amerika Selatan. Hal ini menyebabkan turunnya hujan di Samudera Pasifik, dan hujan di Australia serta di Indonesia menjadi berkurang dari biasanya.
Akibatnya timbul kekeringan di Australia dan di beberapa daerah di Indonesia, dan daerah-daerah yang paling terpengaruh oleh keadaan kekeringan dapat dilihat pada Gambar 2.12.
Kekeringan ini sering disertai dengan kebakaran rumput dan hutan. Selama peristiwa El Nino pada tahun 1994 dan 1997, baik Indonesia maupun Australia, mengalami kebakaran hutan.
Peristiwa La Nina

Peristiwa ini terjadi ketika angin pasat berhembus dengan keras dan terus menerus melintasi Samudera Pasifik ke arah Australia. Angin tersebut mendorong lebih banyak air hangat ke arah Australia sebelah utara dibandingkan biasanya. Akibatnya, semakin banyaklah awan yang terkonsentrasi dalam keadaan seperti ini, dan menyebabkan turunnya hujan lebih banyak di Australia, di Pasifik sebelah barat dan di Indonesia. Peristiwa La Nina dapat dilihat dalam Gambar 2.15.
Dipol Samudera Hindia

Peristiwa Dipol Samudra Hindia (Indian Ocean Dipole/IOD) adalah fenomena iklim yang melibatkan perubahan suhu permukaan laut yang tidak biasa di Samudra Hindia bagian barat dan timur. Ini mirip dengan El Niño-Osilasi Selatan (ENSO) di Pasifik, tetapi terjadi di Samudra Hindia. IOD memiliki dua fase utama:
Fase Positif IOD: Ditandai dengan suhu permukaan laut yang lebih hangat dari rata-rata di Samudra Hindia bagian barat (dekat Afrika) dan suhu yang lebih dingin dari rata-rata di Samudra Hindia bagian timur (dekat Indonesia dan Australia). Hal ini menyebabkan udara lembap bergerak ke barat, mengurangi curah hujan di wilayah tenggara Asia dan Australia, serta meningkatkan curah hujan di Afrika bagian timur. Di Australia, fase positif IOD dikaitkan dengan musim semi dan awal musim panas yang lebih kering dan hangat, meningkatkan risiko kebakaran hutan.
Fase Negatif IOD: Merupakan kebalikan dari fase positif, dengan suhu permukaan laut yang lebih dingin di barat dan lebih hangat di timur. Hal ini membawa lebih banyak uap air ke wilayah Indonesia dan Australia, menyebabkan curah hujan yang lebih tinggi di sana, serta kondisi yang lebih kering di Afrika bagian timur. Di Australia, fase negatif IOD seringkali menyebabkan curah hujan di atas rata-rata dan risiko banjir yang lebih tinggi.
Fase netral IOD: Ini terjadi ketika tidak ada perbedaan suhu yang signifikan antara bagian barat dan timur Samudra Hindia. IOD merupakan salah satu pendorong penting variabilitas iklim regional, terutama mempengaruhi pola curah hujan dan suhu di negara-negara sekitar Samudra Hindia.
Angin Monsun Asia Australia

Angin monsun di Asia dan Australia adalah sistem yang unik yang bergerak dari Kutub Utara sampai Kutub Selatan dalam satu musim dan kemudian membalik arah pada musim berikutnya. Sistem angin monsun tersebut tidak bersamaan dengan pola atmosfer global yang umum dan itulah sebabnya sifatnya unik. Penelitian ilmiah dewasa ini menunjukkan bahwa gelombang angin kutub yang dingin mengawali siklus angin monsun dalam dua jalur yang sudah tertentu, sebagaimana dibahas di bawah ini.
Angin monsun di bulan Juni sampai dengan bulan September. Selama periode ini, di belahan bumi selatan adalah musim dingin dan gelombang angin dingin bergerak di atas Australia dan di samudera sekitarnya. Terjadi sel tekanan tinggi di atas Australia dan angin berhembus ke arah khatulistiwa. Angin ini mengumpulkan kelembaban dan panas pada saat berhembus melewati samudera. Di Asia musimnya adalah musim panas dan kawasan (zona) antar tropis bergerak ke sebelah utara India, melalui Cina Selatan, ke Filipina Utara.
Kawasan panas maksimum (kira-kira 40°C) merentang dari bagian baratlaut sub-benua India ke Timur Tengah. Suatu sel tekanan rendah berkembang di sebelah utara India. Pada garis khatulistiwa, angin yang berada di bawah pengaruh Efek Koriolis, berhembus ke kanan dan tertarik ke arah sel tekanan rendah dan menjadi angin monsun barat-daya yang kuat dan yang membawa hujan deras ke selatan, ke Asia Tenggara dan Timur pada saat angin itu bergerak ke arah utara. Di dekat Jepang, angin tersebut berayun ke arah timur laut dan bergerak ke arah kawasan kutub. Angin monsun bulan November sampai Februari. Saat itu musim dingin di Asia Utara dan kawasan yang sangat dingin sekali (di bawah -40°C) berkisar di Siberia. Massa udara kutub yang dingin dan sel tekanan tinggi merentang di atas sebagian besar Asia (sampai ke Pegunungan Himalaya dan sebagian besar Cina).
Angin barat laut bertiup dalam gelombang udara dingin dari Siberia ke arah Jepang, di mana angin tersebut berputar dan menjadi angin monsun timur laut, yang berhembus ke arah khatulistiwa. Di sana, Efek Koriolis menangkis angin yang bergerak dari barat laut ke arah Australia.
Angin monsun ini diterima di Asia bagian timur dan selatan serta di Australia Utara. Di Australia terjadi musim panas, yang dalam suatu kawasan panas maksimum (di atas 40°C) berkembang bersama- sama dengan sel tekanan rendah yang berkisar di Gurun Australia. Angin monsun berhembus ke arah sel tersebut dan membawa hujan, kadang-kadang termasuk angin topan tropis, ke arah Australia bagian utara. Angin monsun yang kuat juga mempengaruhi arus samudera. Jadi, angin baratdaya menyebabkan arus yang kuat di Lautan Arab dan Teluk Benggali, yang mengakibatkan arus samudera bergerak searah jarum jam selama bulan Juni sampai dengan bulan September sedangkan angin timur laut menyebabkan gerak berlawanan dengan arah jarum jam di samudera ini selama bulan November sampai Pebruari. Arus yang mengalir antara Korea dan Jepang mengalir ke arah utara selama angin monsun panas dan berbalik arah pada musim dingin.
Perubahan iklim di Australia

Benua Australia memiliki banyak keanekaragaman hayati dan variasi iklim, sehingga dampak perubahan iklim global mudah diamati. Kekeringan yang sering, kebakaran hutan, banjir, dan gelombang panas laut dibuat lebih parah oleh planet yang memanas. Menghadapi kenyataan ini, upaya terkoordinasi sedang dilakukan di Australia untuk memahami masalah dan menemukan strategi untuk memahami dan mengurangi dampak perubahan.
Tingkat perubahan iklim di Australia terbukti melalui tren dan proyeksi yang diamati. Sejak tahun 1910 ketika pencatatan nasional dimulai di Australia, suhu rata-rata telah meningkat sekitar 1,44 °C ± 0,24 °C, dengan setiap dekade sejak 1950 lebih hangat dari yang sebelumnya. Tujuh tahun terpanas yang tercatat semuanya sejak 2013, dengan 2019 yang terhangat. Pemanasan ini terjadi sepanjang bulan, memengaruhi suhu siang dan malam hari. Suhu permukaan laut di sekitar Australia juga telah menghangat lebih dari 1°C sejak tahun 1900.
Pergeseran signifikan dalam pola curah hujan diamati. Australia Selatan, terutama barat daya dan tenggara, telah melihat curah hujan lebih sedikit selama musim dingin (April hingga Oktober) dalam 17 dari 20 tahun terakhir.
Frekuensi dan durasi gelombang panas juga meningkat sejak 1970, dengan catatan cuaca panas terjadi tiga kali lebih sering daripada catatan dingin pada periode 2015 hingga 2025.
Permukaan laut di sekitar Australia telah naik, dengan tingkat yang lebih tinggi dari rata-rata global di utara dan tenggara. Hal ini telah menyebabkan air pasang yang sangat tinggi, diperburuk selama badai yang menyebabkan genangan dan erosi pesisir.
Semua indikasi adalah bahwa tren ini akan berlanjut dengan musim kebakaran yang lebih lama dan lebih berbahaya untuk Australia selatan dan timur, dan siklon tropis yang lebih sedikit tetapi lebih intens.
Dampak dari perubahan iklim ini serius dan tersebar luas, memengaruhi lingkungan, ekonomi, dan masyarakat Australia. Perubahan ini menimbulkan risiko bagi manusia dan sistem alami. Beberapa contoh yang menonjol adalah:

- Great Barrier Reef menghadapi gelombang panas laut yang meningkat dan lebih tahan lama, yang menyebabkan pemutihan karang yang lebih sering dan parah.

- Daerah alpine mengalami penurunan kedalaman salju rata-rata.

- Peningkatan kekeringan dan durasi kekeringan di Australia selatan dan timur mengancam keanekaragaman hayati dan produktivitas pertanian.

Pendorong dominan perubahan iklim
Penyebab utama perubahan iklim adalah:
- pembakaran bahan bakar fosil (batubara, minyak, dan gas alam) untuk pembangkit listrik dan transportasi,
- pertanian, dan
- pembukaan lahan.
Produksi listrik merupakan penyumbang utama emisi karbon dioksida (CO2) Australia, sedangkan metana (CH4) dari peternakan dan dinitrogen oksida (N2O) dari penggunaan lahan pertanian berkontribusi terhadap peningkatan gas rumah kaca (GRK)
Deforestasi melepaskan simpanan karbon dan mengurangi dampak hutan sebagai penyerap karbon alami. Hal ini juga menambah masalah.
Emisi GRK di Australia telah menurun sejak tahun 2006-2007, namun emisi karbon dioksida per kapita dari bahan bakar fosil dan industri masih termasuk yang tertinggi secara global. Konsentrasi GRK yang tinggi ini memerangkap lebih banyak panas, sehingga menyebabkan pemanasan global dan perubahan iklim.
Risiko ekonomi perubahan iklim
Sektor pertanian adalah sektor yang paling rentan, dan kejadian ekstrem seperti kekeringan dan gelombang panas diperkirakan akan menurunkan produksi. Pemodelan menunjukkan bahwa pada tahun 2050, hasil pertanian di daerah penghasil pangan beririgasi di Cekungan Murray-Darling dapat mengalami penurunan hasil panen sebesar 50%.
- Kerugian dan kerusakan harta benda akibat:
- kebakaran hutan,
- banjir, dan genangan pantai


Angka ini terus meningkat, dan kebakaran hutan pada tahun 2019-2020 saja menyebabkan kerugian lebih dari $100 miliar. Biaya infrastruktur dan layanan meningkat karena sistem perlu beradaptasi terhadap kejadian ekstrem yang lebih sering terjadi. Australian Climate Service menyatakan dampak ekonomi utama adalah:
- gangguan pada rantai pasok,
- pengangguran di industri yang terkena dampak, dan
- ketidakstabilan keuangan.
Kesehatan dan kesejahteraan juga terpengaruh, dengan gelombang panas yang menyebabkan peningkatan penyakit dan kematian, dan tantangan kesehatan mental yang timbul dari bencana alam.
Tanggapan Australia terhadap perubahan iklim
Tanggapan Australia adalah pendekatan multi-cabang, dengan Departemen Perubahan Iklim, Energi, Lingkungan dan Air (DCCEEW) dan berbagai lembaga memainkan peran penting dalam mitigasi dan adaptasi.
Departemen dan lembaga pemerintah dalam daftar berikut menangani masalah ini. Gunakan tautan untuk mempelajari peran dan tanggung jawab mereka.
Departemen Perubahan Iklim, Energi, Lingkungan dan Air (DCCEEW) sangat penting untuk memahami dan beradaptasi dengan perubahan iklim, mempersiapkan tantangan, dan memenuhi kewajiban internasional berdasarkan Perjanjian Paris. Selain itu, mendukung upaya pengurangan emisi dan memberikan informasi ilmu iklim nasional.
Biro Meteorologi (BOM) dan Organisasi Riset Ilmiah dan Industri Persemakmuran (CSIRO) memainkan penting dalam memantau, menganalisis, dan mengkomunikasikan perubahan iklim Australia yang diamati dan di masa depan.
Australian Climate Service (ACS) adalah kemitraan antara BOM dan CSIRO. ACS telah didirikan untuk memberikan data yang lebih baik, intelijen, dan saran ahli tentang risiko dan dampak iklim untuk mendukung dan menginformasikan pengambilan keputusan.
Otoritas Perubahan Iklim, sebuah badan hukum independen, memberikan saran ahli kepada Pemerintah Australia tentang kebijakan perubahan iklim, perannya adalah menilai target pengurangan emisi, meninjau jalur untuk mencapai emisi nol bersih di berbagai sektor ekonomi pada tahun 2050, dan merekomendasikan strategi seperti skema intensitas emisi untuk pembangkit listrik dan perlindungan yang lebih baik untuk membatasi emisi industri.
Badan Energi Terbarukan Australia (ARENA) menyediakan pendanaan untuk penelitian, pengembangan, dan penerapan awal teknologi energi terbarukan untuk mencapai tujuan pengurangan emisi Pemerintah sebesar 43% di bawah tingkat 2005 pada tahun 2030 dan nol bersih pada tahun 2050.
Regulator Energi Australia (AER) adalah regulator independen pasar gas dan listrik di Australia. Tujuan AER adalah membuat konsumen energi menjadi lebih sejahtera, sekarang dan di masa mendatang. Badan ini juga mengelola skema seperti Skema Unit Kredit Karbon Australia (ACCU) dan Mekanisme Perlindungan untuk mengurangi emisi.





Leave a comment